17 电力电缆线路

2025-02-19

17.0.1  电力电缆线路的试验项目,应包括下列内容:

    1  主绝缘及外护层绝缘电阻测量;

    2  主绝缘直流耐压试验及泄漏电流测量;

    3  主绝缘交流耐压试验;

    4  外护套直流耐压试验;

    5  检查电缆线路两端的相位;

    6  充油电缆的绝缘油试验;

    7  交叉互联系统试验;

    8  电力电缆线路局部放电测量。

17.0.2  电力电缆线路交接试验,应符合下列规定:

    1  橡塑绝缘电力电缆可按本标准第17.0.1条第1、3、5和8款进行试验,其中交流单芯电缆应增加本标准第17.0.1条第4、7款试验项目。额定电压U0/U为18/30kV及以下电缆,当不具备条件时允许用有效值为3U0的0.1Hz电压施加15min或直流耐压试验及泄漏电流测量代替本标准第17.0.5条规定的交流耐压试验;

    2  纸绝缘电缆可按本标准第17.0.1条第1、2和5款进行试验;

    3  自容式充油电缆可按本标准第17.0.1条第1、2、4、5、6、7和8款进行试验;

    4  应对电缆的每一相测量其主绝缘的绝缘电阻和进行耐压试验。对具有统包绝缘的三芯电缆,应分别对每一相进行,其他两相导体、金属屏蔽或金属套和铠装层应一起接地;对分相屏蔽的三芯电缆和单芯电缆,可一相或多相同时进行,非被试相导体、金属屏蔽或金属套和铠装层应一起接地;

    5  对金属屏蔽或金属套一端接地,另一端装有护层过电压保护器的单芯电缆主绝缘做耐压试验时,应将护层过电压保护器短接,使这一端的电缆金属屏蔽或金属套临时接地;

    6  额定电压为0.6/1kV的电缆线路应用2500V兆欧表测量导体对地绝缘电阻代替耐压试验,试验时间应为1min;

    7  对交流单芯电缆外护套应进行直流耐压试验。

17.0.3  绝缘电阻测量,应符合下列规定:

    1  耐压试验前后,绝缘电阻测量应无明显变化;

    2  橡塑电缆外护套、内衬层的绝缘电阻不应低于0.5MΩ/km;

    3  测量绝缘电阻用兆欧表的额定电压等级,应符合下列规定:

        1)电缆绝缘测量宜采用2500V兆欧表,6/6kV及以上电缆也可用5000V兆欧表;

        2)橡塑电缆外护套、内衬层的测量宜采用500V兆欧表。

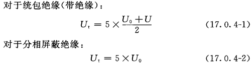
17.0.4  直流耐压试验及泄漏电流测量,应符合下列规定:

    1  直流耐压试验电压应符合下列规定:

        1)纸绝缘电缆直流耐压试验电压Ut可按下列公式计算:

    式中:U0——电缆导体对地或对金属屏蔽层间的额定电压;

              U——电缆额定线电压。

        2)试验电压应符合表17.0.4-1的规定。

表17.0.4-1  纸绝缘电缆直流耐压试验电压(kV)

        3)18/30kV及以下电压等级的橡塑绝缘电缆直流耐压试验电压,应按下式计算:

        4)充油绝缘电缆直流耐压试验电压,应符合表17.0.4-2的规定。

表17.0.4-2  充油绝缘电缆直流耐压试验电压(kV)

        5)现场条件只允许采用交流耐压方法,当额定电压为U0/U为190/330kV及以下时,应采用的交流电压的有效值为上列直流试验电压值的42%,当额定电压U0/U为290/500kV时,应采用的交流电压的有效值为上列直流试验电压值的50%。

        6)交流单芯电缆的外护套绝缘直流耐压试验,可按本标准第17.0.8条规定执行。

    2  试验时,试验电压可分4阶段~6阶段均匀升压,每阶段应停留1min,并应读取泄漏电流值。试验电压升至规定值后应维持15min,期间应读取1min和15min时泄漏电流。测量时应消除杂散电流的影响。

    3  纸绝缘电缆各相泄漏电流的不平衡系数(最大值与最小值之比)不应大于2;当6/10kV及以上电缆的泄漏电流小于20μA和6kV及以下电缆泄漏电流小于10μA时,其不平衡系数可不作规定。

    4  电缆的泄漏电流具有下列情况之一者,电缆绝缘可能有缺陷,应找出缺陷部位,并予以处理:

        1)泄漏电流很不稳定;

        2)泄漏电流随试验电压升高急剧上升;

        3)泄漏电流随试验时间延长有上升现象。

17.0.5  交流耐压试验,应符合下列规定:

    1  橡塑电缆应优先采用20Hz~300Hz交流耐压试验,试验电压和时间应符合表17.0.5的规定。

表17.0.5  橡塑电缆20Hz~300Hz交流耐压试验电压和时间

    2  不具备上述试验条件或有特殊规定时,可采用施加正常系统对地电压24h方法代替交流耐压。

17.0.6  检查电缆线路的两端相位,应与电网的相位一致。

17.0.7  充油电缆的绝缘油试验项目和要求应符合表17.0.7的规定。

表17.0.7  充油电缆的绝缘油试验项目和要求

17.0.8  交叉互联系统试验,应符合本标准附录G的规定。

17.0.9  66kV及以上橡塑绝缘电力电缆线路安装完成后,结合交流耐压试验可进行局部放电测量。

条文说明

17.0.1  橡塑绝缘电力电缆采用直流耐压存在明显缺点:直流电压下的电场分布与交流电压下电场分布不同,不能反映实际运行状况。国际大电网会议第21研究委员会CIGRE SC21 WG21-09工作组报告和IEC SC 20A的新工作项目提案文件不推荐采用直流耐压试验作为橡塑绝缘电力电缆的竣工试验。这一点也得到了运行经验的证明,一些电缆在交接试验中直流耐压试验顺利通过,但投运不久就发生绝缘击穿事故;正常运行的电缆被直流耐压试验损坏的情况也时有发生,故在本条目中要求对橡塑绝缘电力电缆采用交流耐压试验。但对U0为18kV及以下的橡塑电缆,由于在现行IEC标准中保留了直流耐压试验,所以在本条中要求在条件不具备的情况下,允许对U0为18kV及以下的橡塑电缆采用直流耐压试验。

    另外,最新版IEC标准《额定电压1kV(Um=1.2kV)至30kV(Um=36kV)挤出绝缘电力电缆及其附件  第2部分:额定电压6kV(Um=7.2kV)至30kV(Um=36kV)电缆》IEC 60502-2:2014已经将“对电缆的导体与接地屏蔽之间施加有效值为3U0的0.1Hz电压进行耐压15min”的方法正式作为额定电压U0为3.6kV~18kV的安装后电气试验方法的选项之一,因此,本标准也补充采用了这一试验方法。

    需要说明的是,IEC标准的安装后试验要求中,均提出“推荐进行外护套试验和(或)进行主绝缘交流试验。对仅进行了外护套试验的新电缆线路,经采购方与承包方同意,在附件安装期间的质量保证程序可以代替主绝缘试验”的观点和规定,指出了附件安装期间的质量保证程序是决定安装质量的实质因素,试验只是辅助手段。但前提是能够提供经过验证的可信的“附件安装期间的质量保证程序”。目前我国安装质量保证程序还需要验证,安装经验还需要积累,一般情况下还不能省去主绝缘试验。但应该按这一方向去努力。

    纸绝缘电缆是指粘性油浸纸绝缘电缆和不滴流油浸纸绝缘电缆。

    橡塑绝缘电力电缆是指聚氯乙烯绝缘、交联聚乙烯绝缘和乙丙橡皮绝缘电力电缆。

    考虑到电缆局部放电现场测试技术的快速发展,以及部分单位的成功实践经验,增加了条件具备时66kV及以上橡塑绝缘电力电缆线路可进行现场局部放电试验的有关要求,即橡塑绝缘电力电缆的试验项目中增加了“电力电缆线路的局部放电测量”。

17.0.2  本条对电缆试验的注意事项作了规定,对0.6/1kV的电缆线路的耐压试验可用2500kV兆欧表代替做了说明。

17.0.4  标准中引进了U0/U的概念后,直流耐压试验标准与U0和U均有关,特别是具有统包绝缘的电缆,不但考虑相间绝缘,还考虑了相对地绝缘。

    主要依据IEC标准《充油电缆和压气电缆及其附件的试验第1部分:交流500kV及以下纸绝缘或聚丙烯复合纸绝缘金属套充油电缆及其附件》IEC 60141-1:1993及其第2号修改单(1998),等效的现行国家标准《交流500kV及以下纸或聚丙烯复合纸绝缘金属套充油电缆及附件  第1部分:试验》GB/T 9326.1-2008,虽然有一些内容略有差异,但是对电缆安装后的试验要求却保持了一致的内容:将电缆线路的油压升高至设计油压后,对包括终端和接头在内的电缆线路进行直流耐压试验。将直流负极性电压施加在导体与屏蔽层之间,时间15min。试验电压按表中第7栏数值(见表7)或为雷电冲击耐受电压值的50%,以两者中低的值为准。

表7 IEC 60141标准给出的三相系统用电缆的系统电压和试验电压的推荐标称值

    说明:上表内容为IEC 60141标准的原文内容。注a所指的标准是:“IEC 60071绝缘配合”和“IEC 60183高压电缆选用导则”,注d所指的条款是IEC 60141标准的相应正文中表述上段引号内容的条款。

    根据上述条款规定,确定了充油绝缘电缆直流耐压试验电压的选取结果,见表8。

表8  充油绝缘电缆直流耐压试验电压的选取(kV)

    雷电冲击电压依据现行国家标准《绝缘配合  第1部分:定义、原则和规则》GB 311.1-2012的规定。

    为了便于使用,仅把常用的绝缘水平试验电压列在正文,将其他绝缘水平的试验电压放在条文说明里。

    充油电缆条款中还增加了“当现场条件只允许采用交流耐压方法时,应该采用的交流电压(有效值)为上列直流试验电压值的42%(额定电压U0/U为190/330及以下)和50%(额定电压U0/U为290/500)”的新规定。这里采用的交流电压(有效值),是根据相应的IEC 60141及国家标准GB/T 9326-2008的产品标准中例行试验规定的直流试验电压与交流试验电压的等效换算倍数2.4和2.0,把交接试验的直流电压值反算确定得到的交流电压值。

    本条第3款,泄漏电流值和不平衡系数只作为判断绝缘状况的参考,不作为是否能投入运行的判据。其他电缆泄漏电流值不作规定。

17.0.5  本条的试验标准是参照最新版IEC标准《额定电压1kV(Um=1.2kV)至30kV(Um=36kV)挤出绝缘电力电缆及其附件第2部分:额定电压6kV(Um=7.2kV)至30kV(Um=36kV)电缆》IEC 60502.2:2014,《额定电压30kV(Um=36kV)以上至150kV(Um=170kV)挤包绝缘电力电缆及其附件——试验方法和要求》IEC 60840:2011,《额定电压150kV(Um=170kV)以上至500kV(Um=550kV)挤出绝缘电力电缆及其附件——试验方法和要求》IEC 62067:2011,及等效采用IEC标准内容的对应最新版国家标准的相应规定而制订的,同时考虑到目前国内各施工单位试验设备实际条件,对试验电压、试验时间给出了几种可选项,其中括号前为重点推荐。

17.0.8  交叉互联系统试验,方法和要求在本规范附录G已比较详细介绍,其中本规范第G.0.3条交叉互联性能试验,为比较直观和可靠的方法,但是需要相应的试验电源设备,这是大部分现场试验单位所不具备的,因此如用本方法试验时,应作为特殊试验项目处理。如果使用其他简便方式能够确定电缆的交叉互联结线无误,也可以采用其他简便方式。因此本规范第G.0.3条作为推荐采用的方法。

17.0.9  考虑到电缆局部放电现场测试技术的快速发展,以及部分单位的成功实践经验,增加了对于66kV及以上橡塑绝缘电力电缆线路在条件具备时进行现场局部放电试验的有关要求,其他电压等级的橡塑绝缘电力电缆线路,可以结合工程建设条件选择是否进行该试验,本标准暂不作规定。但限于技术发展现状,各种局部放电测量技术对于局部放电量绝对值还不能给出统一的分析判据,不过,各种方法的所规定的参考值还是有一定的实际指导意义,特别是在同一条件下进行测量所获得的局部放电量相对比较值是具有分析判据价值的。所以建议在被试电缆三相之间比较局放量的相对值,局放量异常大者,或达到超过局放试验仪器厂家推荐判断标准的,有关各方应研究解决办法;局放量明显大者应在三个月或六个月内用同样的试验方法复查局放量,如有明显增长则应研究解决办法。目前暂时不对具体测试技术方法作规定,待技术进一步成熟和经验进一步积累后,再作规定。考虑到今后在线检测状态检修的需求,应该鼓励积极开展局部放电测量。

    目前常用的局放检测方法有以下几种:

    (1)脉冲电流法是国际公认的对大部分绝缘设备局部放电检测的最基本方法,IEC-60270为IEC正式公布的局部放电测量标准。其利用试验电容器耦合被测试品中的局放信号,测量出电容试品内部的视在放电量。但其对试验电源和环境都有较高的要求,对被测试品的局放位置定位比较困难。

    (2)振荡波测试法是目前国际上较为先进的一种离线(停电)电缆局放检测技术,通过对充电后流经系统检测回路的电缆放电电流中脉冲信号的分析与计算来实现电缆内部局部放电量值检测和位置确定,用于带绝缘屏蔽结构电缆全线本体和附件缺陷检测。目前有些单位已成功运用电缆振荡波局放测试技术对10kV电缆进行了局放测试。

    (3)超声波检测法是通过检测电力设备局部放电产生的超声波信号来测量局部放电的大小和位置。在实际检测中,超声传感器主要是通过贴在电气设备外壳上以体外检测的方式进行的。超声波方法用于在线监测局部放电的监测频带一般均在20kHz~230kHz之间。

    (4)特高频法(UHF)法是目前局部放电检测的一种新方法,研究认为,每一次局部放电过程都伴随着正负电荷的中和,沿放电通道将会有过程极短陡度很大的脉冲电流产生,电流脉冲的陡度比较大,辐射的电磁波信号的特高频分量比较丰富。其主要的优点是能够进行局放定位,可进行移动检测,适用于在线检测。